全微分与雅可比矩阵
全微分与雅可比矩阵
首先看看一元函数的微分:

二元函数:

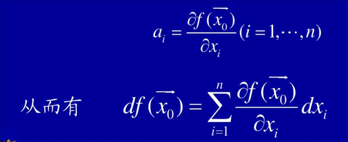
n元函数:


雅可比矩阵是相对于多个函数的全微分:
在向量分析中,雅可比矩阵是函数的一阶偏导数以一定方式排列成的矩阵,其行列式称为雅可比行列式。


比如:

此坐标变换的雅可比矩阵是

又:


其雅可比矩阵为:

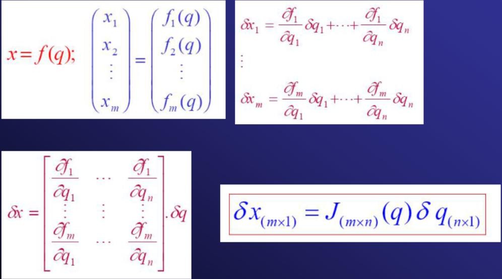
雅可比矩阵不一定为方阵。
一个现实的例子:

其中Jmxn是雅可比矩阵,并且

雅可比矩阵一个是m×n 的矩阵,它表现了一个多变数向量函数的最佳线性逼近。

全微分与雅可比矩阵
首先看看一元函数的微分:

二元函数:

n元函数:


雅可比矩阵是相对于多个函数的全微分:
在向量分析中,雅可比矩阵是函数的一阶偏导数以一定方式排列成的矩阵,其行列式称为雅可比行列式。


比如:

此坐标变换的雅可比矩阵是

又:


其雅可比矩阵为:

雅可比矩阵不一定为方阵。
一个现实的例子:

其中Jmxn是雅可比矩阵,并且

雅可比矩阵一个是m×n 的矩阵,它表现了一个多变数向量函数的最佳线性逼近。

黄晓明 黄晓明是中国内地一位知名的演员、歌手和制片人,他以其多才多艺的表演风格和深厚的演技在娱乐圈中广受欢迎。他出生于1977年,祖籍浙江杭州,早年生...
民警在吃火锅时,顺手抓住了两名逃犯!真是“辣”味十足一幕呀! 你好,我是如歌岁月za 吃火锅也能抓逃犯?没错,你没听错!最近一则新闻报道,民警在吃火...
陈晓陈妍希奉子成婚,姑姑过儿终成眷属,古天乐有话说 陈妍希陈晓今日于陈晓老家合肥领证结婚,网曝二人将于7月19日、7月21日在北京、台北分别举行两场婚礼...
10个“最简单”的游戏灯谜,试试你能猜对多少? 猜灯谜是元宵节传统活动。很多游戏产品早早就上线了配套的运营活动,既能传承传统文化又能提升用户黏性。...
钟期光将军四子四女盘点:1、长子:钟德苏,1944年生,曾 在钟期光将军的四子四女中,每个人都有着自己的故事,仿佛是一本书,一页页翻开,才能看清楚每个...
中国四大菜系,鲁菜之「卷煎」的制作方法 今天给大家分享一下鲁菜『卷煎』的制作方法。 原料 主料:猪嫩瘦肉150克,鸡蛋两个。调料:精盐2克,鸡蛋清两个,...
王蓉整容削骨变蛇精 晒素颜上瘾 王蓉公布整容前后对比照。(来源:王蓉博客) 2009年,王蓉因整容样貌变化大被机场扣留的新闻被媒体关注,事后,王蓉主动表...
小女子不才古风伤悲情话 1小女子不才,不知公子早已心属别家姑娘。此经一别,自然是不会再相见了。那最后祝公子,万水千城,皆要好运。 2小女子不才,写尽...
上古神话,五方天帝你是否了解? 五方五帝各自主宰一方,即东、南、西、北、中五方上帝。五方上帝为昊天上帝佐。 周朝时,依据《周礼》,人们就以六辂(一...
NBA队徽进化史——克利夫兰骑士队 1970-1983年 骑士队最早的队徽主体是一个欧洲剑士,他头戴火枪手的宽檐帽,手握利剑,做出击剑的姿势。整个人物呈红褐色,背...
震惊!北京空气质量爆表,已达严重污染级别!速看! 北京市生态环境监测中心发布最新数据显示,截至3月28日凌晨6时,北京市空气质量指数已达到500,污染级别...
抗战时期,著名的重庆大隧道惨案发生在1941年 在抗日战争的艰难岁月里,1941年6月5日夜晚,重庆经历了一场震惊人心的悲剧——大隧道惨案。 彼时,重庆的防空...
中国家庭亲戚关系图,全都整理在这一张图上了,为孩子收藏吧 中国家庭亲戚关系图,全都整理在这一张图上了,为孩子收藏吧...
印度分为四个等级,四个等级各司其职,这就是印度的种姓制度。 众所周知印度是一个种族阶级分明的国家,在印度女人的地位是非常低下的,对于女人而言没有...
央视主播上新,“00后”! 2月2日5时,央视新闻频道《新闻直播间》栏目迎来了一张新面孔——哈乐。这是他正式以新闻主播的身份亮相央视荧屏。 哈乐出生于...
诅咒解说 完美节奏带动者 超高胜率阿卡丽 诅咒解说 完美节奏带动者 超高胜率阿卡丽 诅咒解说:新波比强势归来 31杀碾压一切 诅咒解说 海兽祭祀俄洛伊 团战实力...
衡阳东至深圳北G6023次高速动车 G6023 衡阳东-深圳北 全程632公里 途径两省:湖南、广东 全程运行2小时44分钟 京局石家庄客运段担当 依次停靠车站:衡阳东(06:32)、韶...
阿里市值突破6000亿美元 【阿里市值突破6000亿美元】阿里巴巴股价不断走高,再度刷新历史新高,最高见218.4港元。截至发稿,阿里巴巴在香港涨1.21%,报128.2港元...
灵超献血被偶遇 网友:不愧是正能量偶像 今天,有网友分享出了自己偶遇灵超献血的照片,随后灵超自己也发文记录了这次献血经过,并表示:“几分钟的时间就...
近五年金价波动一览表和行情走势图(2018年-2023年黄金价格图) 2016年到2021年国内黄金价格最高价格469元/克,最低价格251.6元/克,平均价格328.6元/克。 2016年到2...