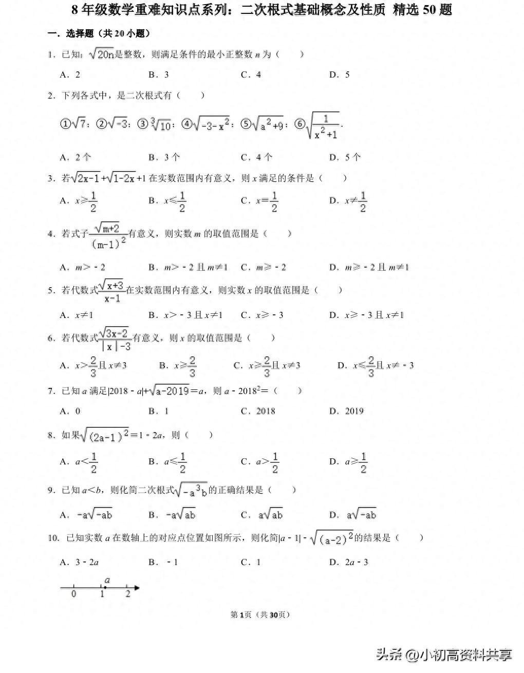
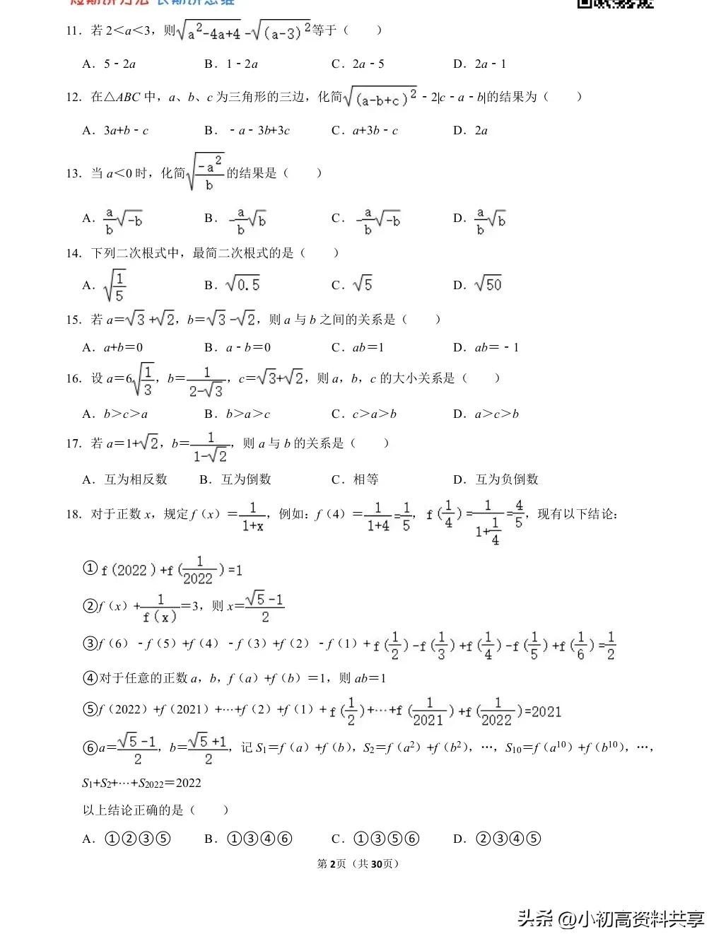
八上数学重难点系列:二次根式基础概念及性质50题,附有详细解析
八上数学重难点系列:二次根式基础概念及性质50题,附有详细解析
















八上数学重难点系列:二次根式基础概念及性质50题,附有详细解析
















DeepSeek预测房价 DeepSeek预测房价就像猜天气,虽然说不准但有几个关键因素可以参考。我用大白话帮你分析分析: 1. 短期(1-2年)看政策 如果国家降利息、放开限...
总结了几本好看的奶爸文,值得一看 奶爸文一直是大家比较喜欢的一个类型,轻松接地气。今天我就整理几本我觉得写的不错的推荐给大家,希望能喜欢。 《奶爸...
到底什么是游击战 游击战是一种非正规战争形式,通常由小规模的武装力量在敌方占领或控制的领土上进行。这种战术通常涉及对敌方部队进行突袭、伏击和破坏...
kors是什么牌子 Michael Kors迈克高仕是一个奢侈品品牌。 Michael Kors迈克高仕公司于1981年正式成立,总部设在纽约市。Michael Kors将奢侈品行业带入了一个新阶段并且成...
学会这六道菜,米饭吃得香,一周不重样换着做 最近胃口不好,我妈给我做了好几道菜,搭配米饭超级香,对我这种挑剔的人来说真的幸福感满满,关键是一周不...
小酒馆经营模式——细分类型 小酒馆的经营模式有很多,这里总结了市场上经营得比较好的6种模式 每个模式都有找到自身的核心优势,平均存活时间都在3年以上...
乌龙!“齐秦”被突传病逝 网友痛批无良造谣者 导语:16日网上传出“齐秦”病逝消息,但此“齐秦”并非以《大约在冬季》走红的歌手齐秦,而是一名就读内蒙...
上海人:独特魅力与多样风采 在广袤的中华大地上,上海人总是一个备受关注和讨论的群体。说起上海人,人们的评价往往是五花八门。 有人说上海人精明,在生...
男性冷门高薪职业有哪些 网校导读: 男性冷门高薪职业有私人保镖、古玩监定师、病毒科研员、考研辅导班教师、整形医生、神幻小说家。 1、私人保镖——年薪...
里约奥运:塞尔维亚女排美女多 空姐更是高颜值 8月21日,里约奥运会上女排决赛引发中国观众收视热潮,中国女排在先失一局情况下逆转塞尔维亚,中国球迷在为...
白百合原名揭秘,青岛富裕家庭出身,演技出众获赞誉 在阅读文章之前,麻烦您点一下“关注”,关注我不迷路哦,每天都有更新,能给您带来不一样的参与感,...
虾油拌菜,渔村美食 我发现最近写的虾油系列挺受欢迎,今天继续和朋友们分享虾油的家常吃法,就是虾油当做调料的用法。 其实好虾油的口味还是比较醇香的,...
《剑来》书中的境界划分 《剑来》书中修士分为武夫和练气士两大类。 武夫有三大境界,一为炼体,二为练气,三为炼神,此为世间武夫的三境界,细致又分为九...
移动套餐变更秘籍:别再执着10086 宝子们,今儿必须给大伙分享个超实用干货!像咱这种急性子,想改移动套餐,可千万别再一股脑打10086啦!就说昨天,我灵机一...
热播剧《皮囊之下》片尾曲-I wanna see you now-张紫宁 八月长安原著小说《皮囊之下》,由郑合惠子、黄圣池领衔主演。 片尾曲《I wanna see you now》是由李晓璇,袁大...
你不知道的赵又廷,曾经为亲哥哥做过这些事 你不知道的赵又廷,曾经为亲哥哥做过这些事(1 /3张) 赵又廷从小就很维护家里人,尤其是很维护哥哥,赵又廷不...
每天带你了解一位篮球女将之王思雨 中国女篮强力后卫王思雨是很多球迷朋友关注和喜爱的,属于是实力和颜值并存的强大球员,在球场是也总是有着强大心脏,...
2014年,刘汉被依法判处死刑时的旧画面,可以看到他情绪失控。 这段描述描绘了2014年时刘汉被依法判处死刑的情景以及他的犯罪经历。以下是事件的主要经过:...
《OVERLORD》第四季的官方最新情报介绍 《OVERLORD》第四季的官方最新情报介绍! —— 《OVERLORD》第四季web广播“魔导国战略会议”配信决定,将于7月6日开始。该节...
长子县开展“迎新春 送温暖 树新风”文明实践活动 黄河新闻网长治讯: 在新春佳节来临之际,为弘扬传统美德,传播文明实践新风尚,帮助困难家庭共同度过文...