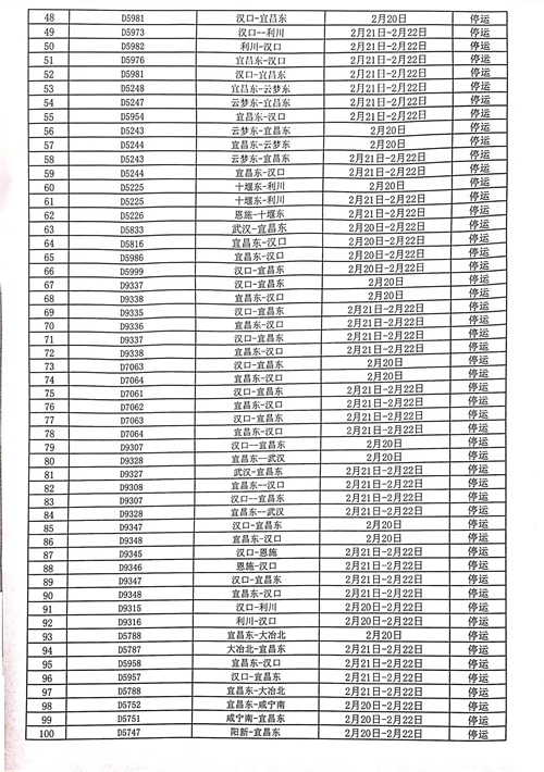
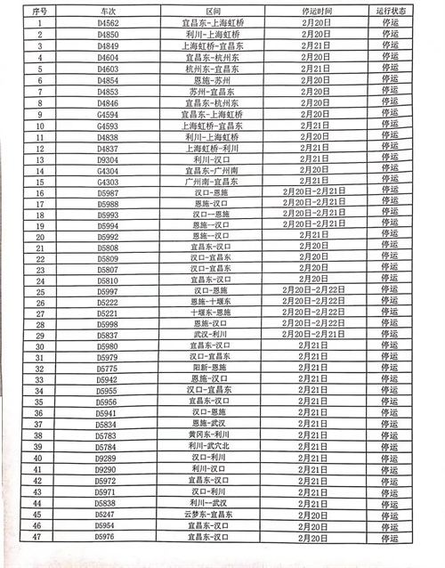
大家注意啦,受天气影响这些高铁暂时停运,大家不要跑空了
大家注意啦,受天气影响这些高铁暂时停运,大家不要跑空了
近期湖北温度骤降,到了21号温度更是低至零下几度 ,后续大概持续一周的时间都是零下几度,并且还随着雪和冻雨。

由于春运期间也是气温较低并且还出现了冻雨,导致电线电缆全部都被冻住了,然后就使得途经湖北地带的高铁开不了了,让许多回家过年的朋友被迫困在了湖北。有了上一次的经验,这一次我们湖北做了很多的准备来防御此次低温天气,首先就是湖北省多地多所学校为了保证我们师生的安全而纷纷延迟开学,然后在高速公路上也放了许多的工业盐来防御冰雪。最后为了确保旅客的安全、也为了防止再一次出现上次的那种局面(旅客们被困在湖北),部分高铁在这段时间内暂时停运。
小编目前了解到的有这些车次




具体情况还请大家多多关注火车12306官方,等待官方的通知,这些仅供参考一下。






