椭圆焦距是什么
椭圆焦距是什么
椭圆焦距是什么
一、前言
之前我们已经学习了曲线与方程的相关知识点,在最后作者给读者说过,我们需要学习曲线相关的知识点,今天作者带来的就是高中阶段的椭圆。
二、椭圆是什么?
既然要学习椭圆,至少就需要知道什么是椭圆,那么什么是椭圆了?
椭圆的定义:
我们把平面内与两个定点的距离的和等于常数的点的轨迹就是椭圆。
编辑 搜图
请点击输入图片描述
上面就是由椭圆翻译过来的数学表达式。
上述中的两个定点叫做椭圆的焦点,然后就是两焦点间的距离叫做椭圆的焦距。
我们在知道这个的前提下,将上述的k换为2a,焦距为2c,然后再结合下述的表达式:

因此就得到了椭圆的标准方程:

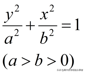
这个椭圆的方程式焦点在x轴上面,那么当焦点在y轴上面的时候,椭圆的标准方程就需要发生改变了,就是下述:

现在大家已经知道了两种椭圆的标准方程,选取哪种形式的方程就根据焦点在哪个轴。
三、定义理解?
首先就是这个定义说的曲线上的点到两定点的距离之和是定值,这个需要读者们牢牢记住,这个等式能够求解出a的大小,或者假设出一个关于a的一个方程。
然后就是由于焦点所在轴不同,假设的方程也是不同的。
批注:
读者有什么不懂的可以留言,想要知道什么高中解题经验可以给作者留言啊!
关注!关注!关注!重要事情说三遍

























